Rajasthan ANM Admission 2025 : निदेशालय, चिकित्सा स्वास्थ्य एवं परिवार कल्याण सेवाएं, राजस्थान जयपुर के अधीन संचालित 34 राजकीय गहिला स्वास्थ्य कार्यकर्ता प्रशिक्षण केन्द्रों में 2024-25 सत्र के लिए महिला स्वास्थ्य कार्यकर्ता प्रशिक्षण पाठ्यक्रम (2 वर्ष, जिसमें 6 माह की इंटर्नशिप शामिल है) में प्रवेश हेतु आवेदन आमंत्रित किए गए हैं। इस Rajasthan ANM Nursing Admission 2025 के लिए ऑफलाइन आवेदन दिनांक 29.11.2024 से शुरू हो चुके है और इसके लिए अंतिम तिथि 16.12.2024 निर्धारित की गयी है। इच्छुक महिला उम्मीदवार आवेदन की अंतिम तिथि से पूर्व आवेदन करे।
इस ब्लॉग पोस्ट में हम आपको Rajasthan ANM Admission 2025 की आवेदन प्रक्रिया, योग्यता,चयन प्रक्रिया की विस्तृत जानकारी प्रदान करेंगे।
Rajasthan ANM Nursing Admission 2025 : Overview
| कोर्स का नाम | महिला स्वास्थ्य कार्यकर्ता प्रशिक्षण कार्यक्रम |
| अवधि | 2 वर्ष + 6 महीने की इंटर्नशिप |
| प्रशिक्षण केंद्र | 34 सरकारी स्वास्थ्य कार्यकर्ता प्रशिक्षण केंद्र |
| आवेदन शुरू होने की तिथि | 29 नवम्बर 2024 |
| आवेदन की अंतिम तिथि | 16 दिसम्बर 2024 |
| योग्यता | महिला उम्मीदवार (आधिकारिक सूचना में विस्तृत विवरण) |
| आवेदन शुल्क | ₹20 (सामान्य/ओबीसी) / निःशुल्क (एससी/एसटी के लिए) |
| आवेदन का तरीका | डाक द्वारा (रजिस्टर्ड/स्पीड पोस्ट/साधारण पोस्ट) |
Rajasthan ANM Admission 2025 : शैक्षणिक योग्यता
आवेदक के लिए निम्नलिखित शैक्षणिक योग्यता अनिवार्य है:
- आवेदक को माध्यमिक शिक्षा बोर्ड राजस्थान, अजमेर या अन्य मान्यता प्राप्त बोर्ड द्वारा जारी नई स्कीम (10+2) के अनुसार सीनियर सेकेंडरी परीक्षा उत्तीर्ण होना चाहिए।
- इसके अलावा, राजस्थान माध्यमिक शिक्षा बोर्ड के आदेश क्रमांक मान्यता / ईक्यू / 1045 दिनांक 05.07.2011 और पत्रांक 2042 दिनांक 17.11.2011 के अनुसार, राज्य सरकार द्वारा अनुमोदित आई.डी. संख्या 586 दिनांक 18.07.2015 के तहत जागिया उर्दू अलीगढ़ बोर्ड से उत्तीर्ण अभ्यर्थियों को इस प्रशिक्षण में प्रवेश प्रक्रिया में शामिल नहीं किया जाएगा।
Rajasthan ANM Nursing Admission 2025 आयु सीमा
आवेदनकर्ता की आयु 31 दिसंबर 2024 को निम्नलिखित सीमा के भीतर होनी चाहिए:
- न्यूनतम आयु: 17 वर्ष
- अधिकतम आयु: 34 वर्ष
विशेष छूट:
- अनुसूचित जाति (SC), अनुसूचित जनजाति (ST), और अन्य पिछड़ा वर्ग (OBC) के उम्मीदवारों को आयु सीमा में छूट दी जाएगी।
- संबंधित आरक्षित वर्गों के उम्मीदवारों के लिए आयु सीमा में छूट राज्य सरकार की नियमों के अनुसार लागू होगी।
Rajasthan ANM Admission 2025 : प्रशिक्षण अवधि
प्रशिक्षण पाद्यक्रम की अवधि भारतीय नर्सिंग काउंसिल (INC) के नए सिलेबस के अनुसार होगी, जो छठे संस्करण (2012) के अनुसार निर्धारित है। प्रशिक्षण का कुल समय 2 वर्ष (18 माह + 6 माह की इंटर्नशिप) रहेगा। प्रशिक्षण सत्र जनवरी 2025 से प्रारंभ होने की संभावना है।
Rajsthan ANM Admission 2025 :चयन प्रक्रिया
- राजस्थान के मूल निवासी को प्राथमिकता
चयन में राजस्थान के मूल निवासी अभ्यर्थियों को प्राथमिकता दी जाएगी। इसके लिए अभ्यर्थी को सक्षम अधिकारी द्वारा जारी किए गए मूल निवास प्रमाण पत्र की सत्यापित प्रति आवेदन पत्र के साथ संलग्न करना आवश्यक होगा। - मैरिट आधारित चयन
अभ्यर्थियों का चयन माध्यमिक शिक्षा बोर्ड, राजस्थान अजमेर से सीनियर सेकेंडरी परीक्षा (या समकक्ष परीक्षा) के प्राप्तांकों के आधार पर किया जाएगा। संबंधित मुख्य चिकित्सा एवं स्वास्थ्य अधिकारी द्वारा मैरिट लिस्ट तैयार की जाएगी, जो कि जिलेवार और श्रेणीवार होगी। इसके बाद, ये सूची संयुक्त निदेशक, जोन से प्रमाणित करवाई जाएगी और निदेशालय को भेजी जाएगी। चयन की प्रक्रिया आरक्षण की श्रेणीवार वरीयता के आधार पर की जाएगी। - मैरिट सूची का प्रकाशन
चयनित अभ्यर्थियों की सूची मुख्य चिकित्सा एवं स्वास्थ्य अधिकारी के कार्यालय और जिला परिषद कार्यालय में उपलब्ध होगी। इसके अलावा, चयनित अभ्यर्थियों को व्यक्तिगत रूप से पत्र द्वारा सूचित किया जाएगा। चयन के लिए काउंसलिंग की तिथि अलग से निर्धारित की जाएगी, और इसकी सूचना दैनिक समाचार पत्रों तथा विभागीय वेबसाइट www.rajswasthyanicin पर दी जाएगी। - दस्तावेज सत्यापन
चयनित अभ्यर्थियों को उनके चयन से संबंधित प्रशिक्षण केंद्र में मूल दस्तावेजों के साथ उपस्थित होना होगा। यदि कोई अभ्यर्थी दस्तावेज प्रस्तुत नहीं करता या दस्तावेजों में कोई गड़बड़ी पाई जाती है, तो उनका चयन निरस्त समझा जाएगा। - दस्तावेज सत्यापन की प्रक्रिया
प्रशिक्षण केंद्र के प्रभारी द्वारा अभ्यर्थी के दस्तावेजों की सत्यता की जांच की जाएगी। यदि दस्तावेजों में कोई धोखाधड़ी पाई जाती है, तो संबंधित अभ्यर्थी के खिलाफ कानूनी कार्यवाही की जाएगी। - गर्भवती अभ्यर्थियों के लिए विशेष शर्तें
यदि कोई अभ्यर्थी चयन के समय गर्भवती पाई जाती है, तो उसे प्रशिक्षण में सम्मिलित होने से संबंधित शर्तों के अनुसार पात्र माना जाएगा। इसके अलावा, शेष निर्धारित समय सीमा में प्रशिक्षण में सम्मिलित होने का अवसर मिलेगा। - काउंसलिंग की प्रक्रिया
काउंसलिंग का आयोजन सुबह 9:30 बजे से लेकर 2:00 बजे तक निर्धारित रहेगा। सभी संबंधित अधिकारी और काउंसलिंग समिति चयन प्रक्रिया में शामिल होंगे।
Rajasthan ANM Admission 2025 आवेदन कैसे करें ?
Rajasthan ANM Admission 2025 के लिए आवेदन प्रक्रिया सरल और स्पष्ट है। आवेदन करने के लिए निम्नलिखित कदमों का पालन करें:
- आवेदन पत्र डाउनलोड करें: सबसे पहले नीचे दिए गए लिंक से Rajasthan ANM Admission Form डाउनलोड करें और उसका प्रिंटआउट निकालें।
- आवेदन पत्र भरें: आवेदन फॉर्म में सभी आवश्यक जानकारी ध्यानपूर्वक भरें। सही और पूरी जानकारी भरना महत्वपूर्ण है ताकि आवेदन में कोई गलती न हो।
- दस्तावेज़ संलग्न करें: सभी आवश्यक दस्तावेजों की स्व-प्रमाणित छायाप्रति निकालकर आवेदन फॉर्म के साथ अटैच करें। यह सुनिश्चित करें कि दस्तावेज़ सही और पूर्ण हों।
- फोटो चिपकाएं: आवेदन फॉर्म पर निर्धारित स्थान पर पासपोर्ट आकार की फोटो चिपकाएं। यह एक जरूरी प्रक्रिया है।
- हस्ताक्षर करें: आवेदन पत्र के अंत में “हस्ताक्षर आवेदक” के स्थान पर अपने हस्ताक्षर करें।
- पोस्टल ऑर्डर अटैच करें: मुख्य चिकित्सा एवं स्वास्थ्य अधिकारी के हित में 20 रुपये का पोस्टल ऑर्डर आवेदन फॉर्म के साथ अटैच करें। अनुसूचित जाति और अनुसूचित जनजाति के अभ्यर्थियों के लिए यह शुल्क निःशुल्क है।
- आवेदन जमा करें: भरे हुए आवेदन फॉर्म को एक लिफाफे में बंद करके संबंधित मुख्य चिकित्सा एवं स्वास्थ्य अधिकारी के पास अपने जिले में जमा करवा सकते हैं। अभ्यर्थी एक से अधिक जिलों में स्वास्थ्य कार्यकर्ता प्रशिक्षण के लिए अलग-अलग फॉर्म जमा कर सकते हैं।
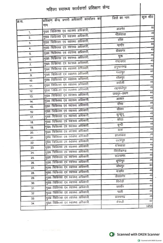
Rajasthan ANM Nursing Admission 2025 : College List PDF Download
| Name Of College | District | No Of Seats |
| मुख्य चिकित्सा एवं स्वास्थ्य अधिकारी | अजमेर | 60 |
| मुख्य चिकित्सा एवं स्वास्थ्य अधिकारी | भीलवाड़ा | 45 |
| मुख्य चिकित्सा एवं स्वास्थ्य अधिकारी | टोंक | 45 |
| मुख्य चिकित्सा एवं स्वास्थ्य अधिकारी | नागौर | 45 |
| मुख्य चिकित्सा एवं स्वास्थ्य अधिकारी | बीकानेर | 60 |
| मुख्य चिकित्सा एवं स्वास्थ्य अधिकारी | चूरू | 45 |
| मुख्य चिकित्सा एवं स्वास्थ्य अधिकारी | गंगानगर | 45 |
| मुख्य चिकित्सा एवं स्वास्थ्य अधिकारी | हनुमानगढ़ | 45 |
| मुख्य चिकित्सा एवं स्वास्थ्य अधिकारी | भरतपुर | 60 |
| मुख्य चिकित्सा एवं स्वास्थ्य अधिकारी | धौलपुर | 45 |
| मुख्य चिकित्सा एवं स्वास्थ्य अधिकारी | करौली | 45 |
| मुख्य चिकित्सा एवं स्वास्थ्य अधिकारी | सवाई माधोपुर | 45 |
| मुख्य चिकित्सा एवं स्वास्थ्य अधिकारी | जयपुर | 60 |
| मुख्य चिकित्सा एवं स्वास्थ्य अधिकारी | अलवर | 45 |
| मुख्य चिकित्सा एवं स्वास्थ्य अधिकारी | दौसा | 45 |
| मुख्य चिकित्सा एवं स्वास्थ्य अधिकारी | सीकर | 45 |
| मुख्य चिकित्सा एवं स्वास्थ्य अधिकारी | झुंझुनू | 45 |
| मुख्य चिकित्सा एवं स्वास्थ्य अधिकारी | कोटा | 60 |
| मुख्य चिकित्सा एवं स्वास्थ्य अधिकारी | बूंदी | 45 |
| मुख्य चिकित्सा एवं स्वास्थ्य अधिकारी | बारां | 45 |
| मुख्य चिकित्सा एवं स्वास्थ्य अधिकारी | झालावाड़ | 45 |
| मुख्य चिकित्सा एवं स्वास्थ्य अधिकारी | उदयपुर | 60 |
| मुख्य चिकित्सा एवं स्वास्थ्य अधिकारी | बांसवाड़ा | 45 |
| मुख्य चिकित्सा एवं स्वास्थ्य अधिकारी | चित्तौड़गढ़ | 45 |
| मुख्य चिकित्सा एवं स्वास्थ्य अधिकारी | राजसमंद | 45 |
| मुख्य चिकित्सा एवं स्वास्थ्य अधिकारी | डूंगरपुर | 45 |
| मुख्य चिकित्सा एवं स्वास्थ्य अधिकारी | जोधपुर | 60 |
| मुख्य चिकित्सा एवं स्वास्थ्य अधिकारी | बाड़मेर | 45 |
| मुख्य चिकित्सा एवं स्वास्थ्य अधिकारी | जैसलमेर | 45 |
| मुख्य चिकित्सा एवं स्वास्थ्य अधिकारी | सिरोही | 45 |
| मुख्य चिकित्सा एवं स्वास्थ्य अधिकारी | जालौर | 45 |
| मुख्य चिकित्सा एवं स्वास्थ्य अधिकारी | पाली | 45 |
| मुख्य चिकित्सा एवं स्वास्थ्य अधिकारी | प्रतापगढ़ | 45 |
| मुख्य चिकित्सा एवं स्वास्थ्य अधिकारी | केकड़ी | 60 |
Grand Total: 1650 सीटें

Rajasthan ANM Application Form Download
राजस्थान ANM Nursing पाठयक्रम में प्रवेश लेने के लिए आवेदन पत्र को डाउनलोड करके उसका प्रिंट निकालकर जमा करवाना होगा और उसके साथ जरूरी दस्तावेज भी लगाने जरूरी है।
| Rajasthan ANM Admission 2025 Notification PDF | Download |
| Rajasthan ANM Application Form | Download |
राजस्थान एएनएम नर्सिंग एडमिशन 2025: सामान्य प्रश्न (FAQ)
राजस्थान एएनएम नर्सिंग एडमिशन 2025 का आवेदन फॉर्म कहां से डाउनलोड करें?
आवेदन फॉर्म राजस्थान स्वास्थ्य विभाग की आधिकारिक वेबसाइट से डाउनलोड किया जा सकता है। इसके अतिरिक्त, हमारी वेबसाइट पर दिए गये लिंक से फॉर्म प्राप्त किया जा सकता है।
राजस्थान एएनएम नर्सिंग एडमिशन 2025 का आवेदन शुल्क कितना है?
सामान्य और ओबीसी वर्ग के लिए आवेदन शुल्क 20 रुपये है, जो पोस्टल ऑर्डर के रूप में जमा करना होगा। अनुसूचित जाति और अनुसूचित जनजाति के उम्मीदवारों के लिए आवेदन निशुल्क है।

